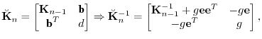
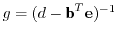
Adding a row and column to the kernel matrix
In the
-th iteration, a new pattern
is first added to the memory, which corresponds to adding one row and one column to the kernel matrix
. We
call this operation ``upsizing'' the matrix, and the result is denoted as
. Given the inverse matrix
, the inverse of the upsized matrix,
, can be obtained by calculating
 |
(5) |
in which
,
, and
and
contain kernels between
and the other points in memory (see
[12]).
Pdf version (236 KB)
Steven Van Vaerenbergh
Last modified: 2010-08-07