Kernel Methods
Kernel methods are powerful nonlinear techniques based on a nonlinear transformation of the data
into a high-dimensional
feature space, in which it is more likely that the transformed data
is linearly separable. In feature space, inner products can be calculated by using a positive definite kernel
function satisfying Mercer's condition [14]:
. This simple and elegant idea, also known as the ``kernel trick'', allows
to perform inner-product based algorithms implicitly in feature space by replacing all inner products by kernels. A commonly used kernel function is the Gaussian kernel
 |
(1) |
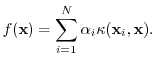
In kernel-based regression techniques, a nonlinear mapping is evaluated as a linear combination of kernels of support vectors
 |
(2) |
Thanks to the Representer Theorem [1], the nonlinearity
can be represented sufficiently well by choosing the training vectors as the support
of this expansion.
Pdf version (236 KB)
Steven Van Vaerenbergh
Last modified: 2010-08-07